BPSC ने हेडमास्टर लिखित परीक्षा का परिणाम किया घोषित, यहां देखें पूरी लिस्ट
Published by :Prabhat Khabar Digital Desk
Published at :04 Aug 2022 10:06 PM (IST)
विज्ञापन

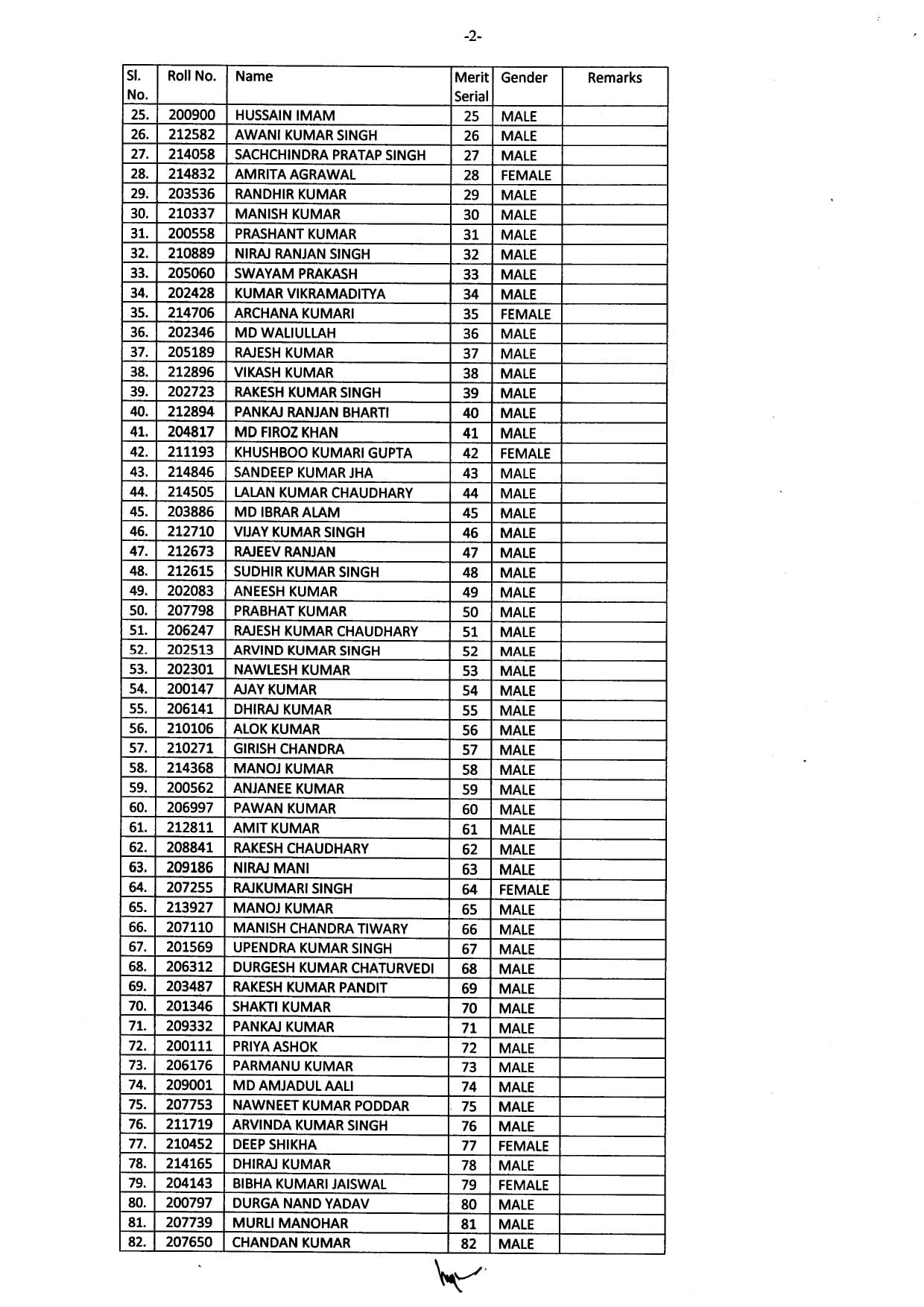
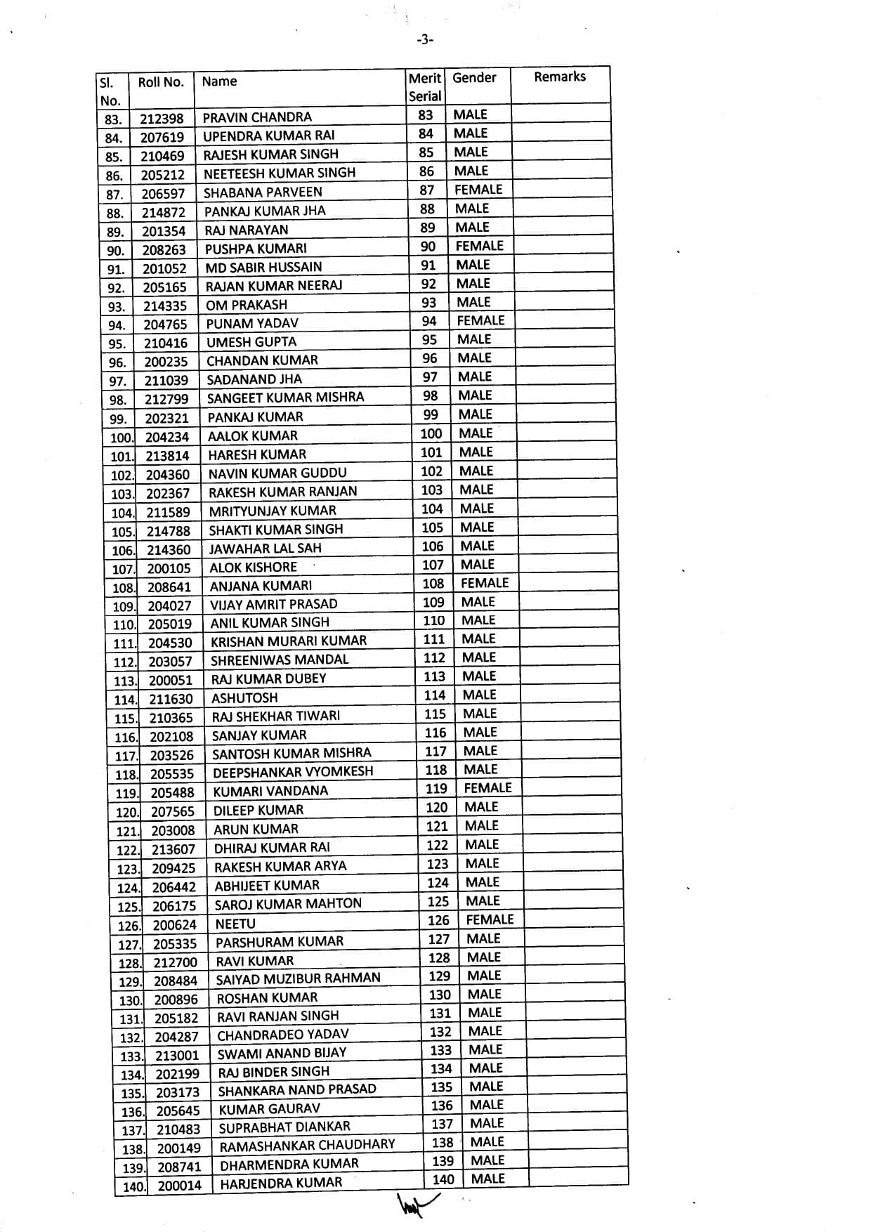
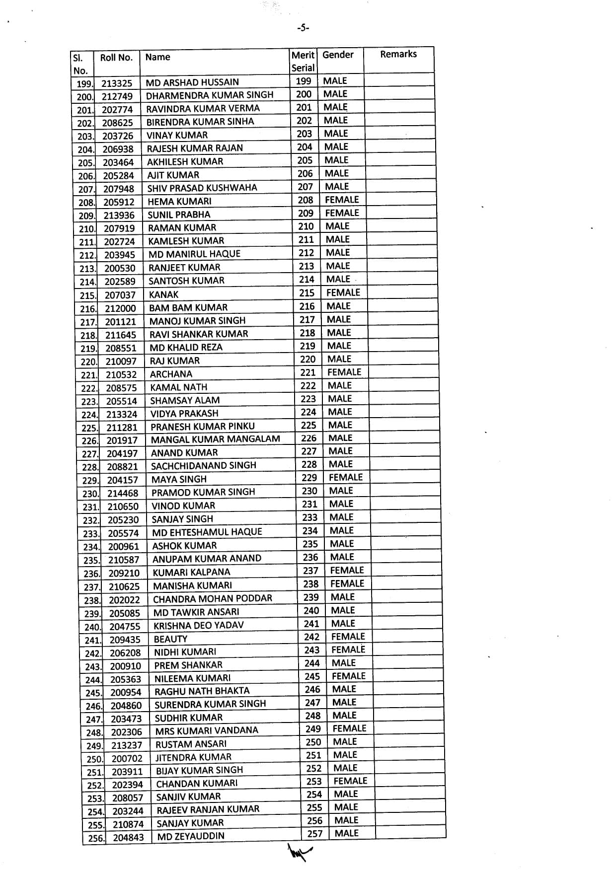
बिहार लोक सेवा आयोग ने आज प्रधानचार्य पद के लिए ली गई लिखिर परीक्षा का परिणाम घोषित कर दिया है. इस परीक्षा में कूल 3055 अभ्यार्थी शामिल हुए थे जिसमें से 421 उम्मीदवार सफल हुए हैं.
विज्ञापन
बिहार लोक सेवा आयोग ने आज प्रधानचार्य पद के लिए ली गई लिखिर परीक्षा का परिणाम घोषित कर दिया है. इस परीक्षा में कूल 3055 अभ्यार्थी शामिल हुए थे जिसमें से 421 उम्मीदवार सफल हुए हैं. 6421पदों पर रिक्तियां हैं जिसके लिए कूल 421 उम्मीदवारों का परीक्षाफल जारी किया गया है. बता दें की 31 मई 2022 को पटना के 25 परीक्षा केंद्रों पर यह परीक्षा आयोजित की गई थी, जिसमें कुल 13055 अभ्यर्थी परीक्षा में शामिल हुए








प्रभात खबर डिजिटल टॉप स्टोरी
विज्ञापन
लेखक के बारे में
By Prabhat Khabar Digital Desk
यह प्रभात खबर का डिजिटल न्यूज डेस्क है। इसमें प्रभात खबर के डिजिटल टीम के साथियों की रूटीन खबरें प्रकाशित होती हैं।
Prabhat Khabar App :
देश, एजुकेशन, मनोरंजन, बिजनेस अपडेट, धर्म, क्रिकेट, राशिफल की ताजा खबरें पढ़ें यहां. रोजाना की ब्रेकिंग हिंदी न्यूज और लाइव न्यूज कवरेज के लिए डाउनलोड करिए
विज्ञापन










