UP Police Transfer: निकाय चुनाव से पहले लखनऊ कमिश्नरेट में बड़ी संख्या में कॉन्स्टेबल का तबादला, देखें लिस्ट

Police Transfer: यूपी की राजधानी लखनऊ में बड़ी संख्या में कॉन्स्टेबल का ताबादला कर दिया गया है. मुख्यालय पुलिस महानिदेशक के आदेश अनुसार 251 पुरुष कांस्टेबल और 125 महिला कांस्टेबल का ट्रांसफर किया गया है.
लखनऊ. Police Transfer: उत्तर प्रदेश की राजधानी लखनऊ से बड़ी खबर सामने आ रही है. लखनऊ कमिश्नरेट में 376 कॉन्स्टेबल का तबादला कर दिया गया है. जिसमें 251 पुरुष कांस्टेबल और 125 महिला कांस्टेबल का ट्रांसफर किया गया है. हजरतगंज, हुसैनगंज, गौतमपल्ली, अमीनाबाद से तबादला किया गया है. वहीं कैसरबाग, महिला थाना, नाका, महानगर, हसनगंज से भी ट्रांसफर किया गया है. इन कॉन्स्टेबलों का ट्रांसफर डीसीपी सेंट्रल अर्पणा रजत कौशिक ने किए है.
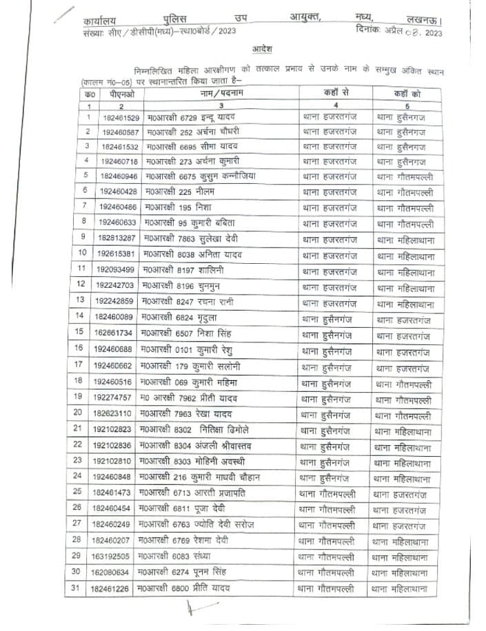
Police Transfer List: लखनऊ कमिश्नरेट में बड़ी संख्या में कॉन्स्टेबल को ताबादला किया गया है. लखनऊ कमिश्नरेट ने अधिसूचना जारी कर कहा है कि निम्नलिखित महिला कॉन्स्टेबल को को तत्काल प्रभाव से उनके नाम के सम्मुख अंकित स्थान पर स्थानान्तरित किया गया है. इंदू यादव को हजरतगंज थाना से हुसैनगंज थाना भेजा गया है. वहीं अर्चना चौधरी समेत चार महिला पुलिस को हजरतगंज थाना से हुसैनगंज भेजा गया है.

Police Transfer List: लखनऊ कमिश्नरेट में बड़ी संख्या में कॉन्स्टेबल को ताबादला किया गया है. सभी ट्रांसफर कॉन्स्टेबल को तत्काल प्रभाव से लिस्ट में दिये गये स्थान पर ज्वाइनिंग करने को कहा गया है.

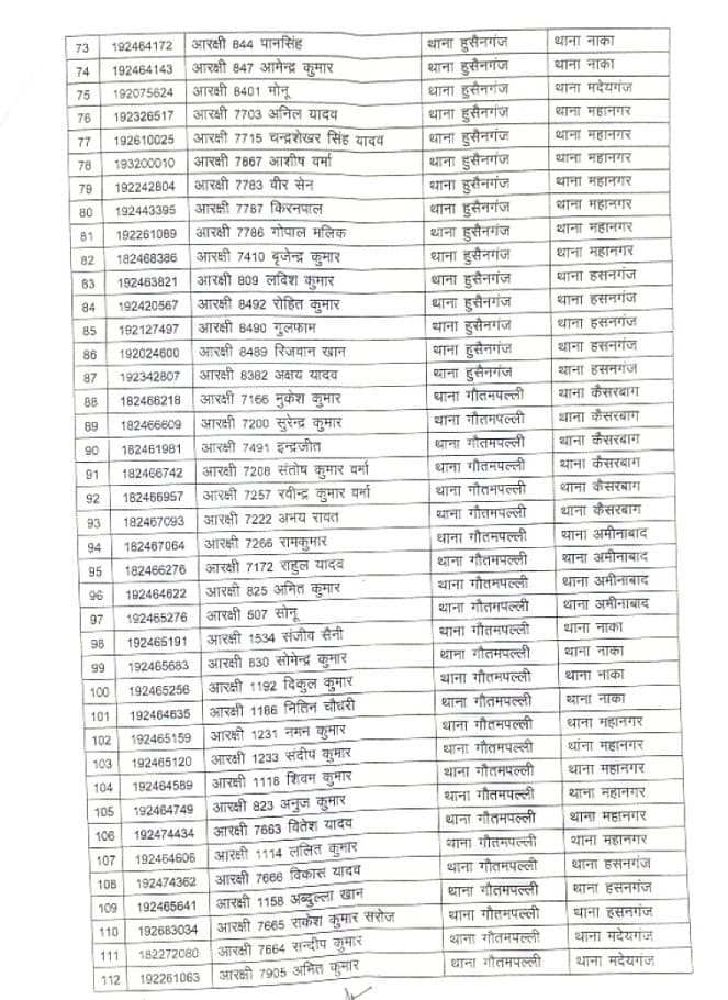
Police Transfer List: जानें किस काॅन्स्टेबल को कहां से कहां किया गया ट्रांसफर

Police Transfer List: जानें किस काॅन्स्टेबल को कहां से कहां किया गया ट्रांसफर

Police Transfer List: जानें किस काॅन्स्टेबल को कहां से कहां किया गया ट्रांसफर

Police Transfer List: जानें किस काॅन्स्टेबल को कहां से कहां किया गया ट्रांसफर

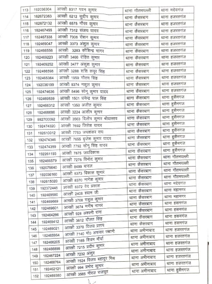
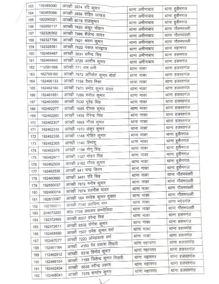
Police Transfer List: जानें किस काॅन्स्टेबल को कहां से कहां किया गया ट्रांसफर

Police Transfer List: जानें किस काॅन्स्टेबल को कहां से कहां किया गया ट्रांसफर

Police Transfer List: जानें किस काॅन्स्टेबल को कहां से कहां किया गया ट्रांसफर

Police Transfer List: जानें किस काॅन्स्टेबल को कहां से कहां किया गया ट्रांसफर

Police Transfer List: जानें किस काॅन्स्टेबल को कहां से कहां किया गया ट्रांसफर

प्रभात खबर डिजिटल टॉप स्टोरी
लेखक के बारे में
By Prabhat Khabar Digital Desk
यह प्रभात खबर का डिजिटल न्यूज डेस्क है। इसमें प्रभात खबर के डिजिटल टीम के साथियों की रूटीन खबरें प्रकाशित होती हैं।
Prabhat Khabar App :
देश, एजुकेशन, मनोरंजन, बिजनेस अपडेट, धर्म, क्रिकेट, राशिफल की ताजा खबरें पढ़ें यहां. रोजाना की ब्रेकिंग हिंदी न्यूज और लाइव न्यूज कवरेज के लिए डाउनलोड करिए




