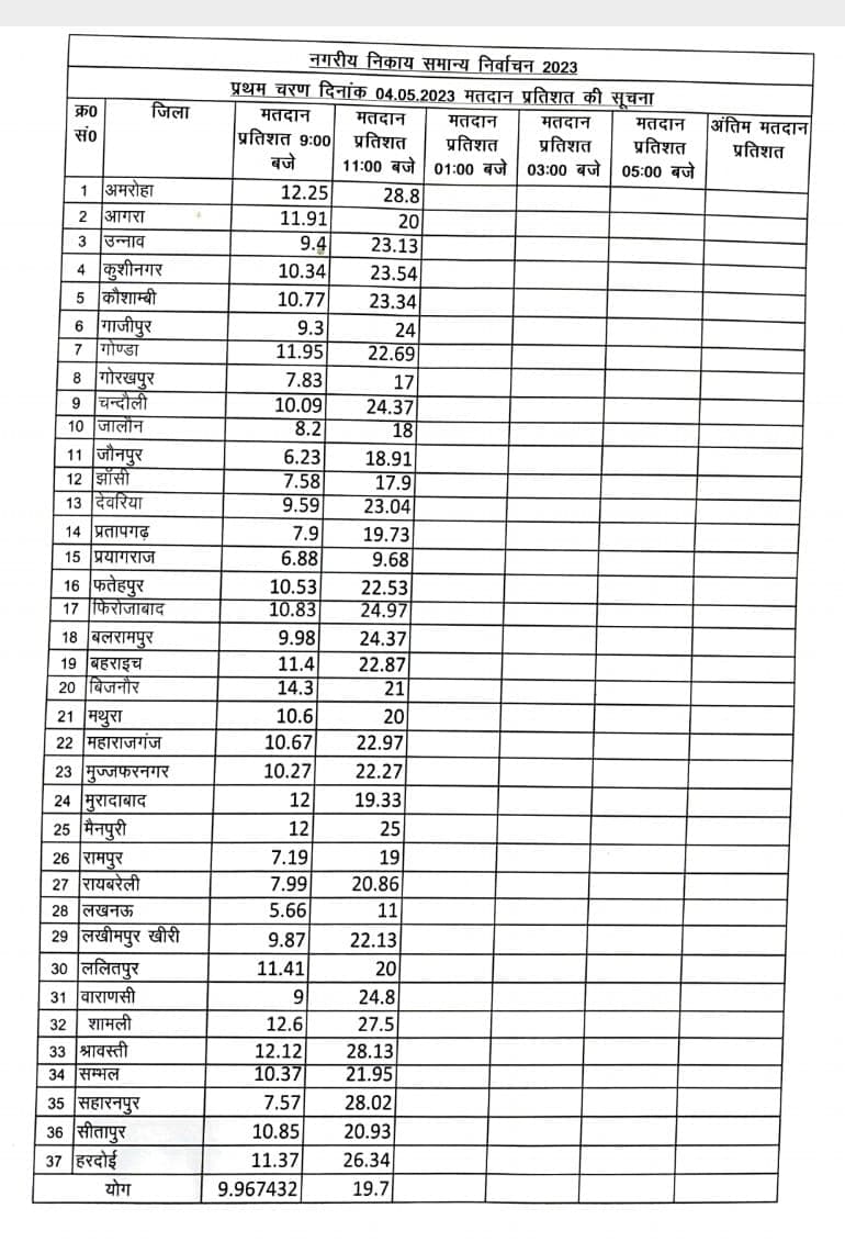
यूपी निकाय चुनाव: पहले चरण का मतदान समाप्त, देखें जिलेवार मतदान का प्रतिशत, 11 मई को पड़ेंगे दूसरे चरण के वोट

यूपी निकाय चुनाव में पहले चरण का मतदान गुरुवार 4 मई को सुबह 7 बजे शुरू हुआ. पहले दो घंटे तक कई जिलों के मतदान केंद्रों पर सन्नाटा छाया रहा. लेकिन दोपहर बाद मतदाता घरों से बाहर निकले, जिससे मतदान का प्रतिशत कुछ राहत पहुंचाने वाला रहा.
लखनऊ: यूपी निकाय चुनाव के पहले चरण का मतदान समाप्त हो गया. शाम छह बजे तक राज्य निर्वाचान आयोग की वेबसाइट से अंतिम सूचना मिलने तक लगभग 46 प्रतिशत वोट पड़े थे. अभी वोटिंग के आंकड़ों में बदलाव भी हो सकता है. गुरुवार को अच्छे मौसम के बावजूद मतदान की शुरुआत काफी धीमी रही, लेकिन धीरे-धीरे मतदान केंद्रों पर भीड़ उमड़ने लगी. वाराणसी, सहारनपुर, लखनऊ सहित कई जिलों में शुरुआत के एक-डेढ़ घंटे तक कई बूथ पर ईवीएम खराब होने से मतदान प्रभावित हुआ. लेकिन मतदान का समय खत्म होने तक वोटिंग के आंकड़े कुछ राहत पहुंचाने वाले रहे.
सीएम योगी आदित्यनाथ, रक्षा मंत्री राजनाथ सिंह, पूर्व मुख्यमंत्री अखिलेश यादव, शिवपाल यादव, बसपा प्रमुख व पूर्व मुख्यमंत्री मायावती की अपील के बावजूद वोटर दोपहर तक शांत बैठे रहे. ऐसा लग रहा था कि जैसे मतदाता वोटिंग पैटर्न को समझना चाह रहे थे. कम वोटिंग के रुझान से राजनीतिक दलों के होश उड़े हुये थे. लेकिन दोपहर एक बजे के बाद मतदान का प्रतिशत कुछ हद तक सुधरा, जो शाम 5 बजे 52 प्रतिशत के आस-पास जाकर रुका. इससे प्रत्याशियों ने भी राहत की सांस ली.
Also Read: UP Nikay Chunav 2023 Live: यूपी के 37 जिलों में प्रथम चरण का निकाय चुनाव संपन्न, जानें कितने प्रतिशत हुआ मतदान
राज्य निर्वाचन आयोग ने पहले दो घंटे में मतदान का प्रतिशत जारी किया

11 बजे तक धीमी रही मतदान की रफ्तार

01 बजे के बाद बढ़ा मतदान का प्रतिशत

मतदाता निकले बाहर लेकिन लखनऊ निवासी रहे फिसड्डी

शाम को दिखा मतदाताओं का उत्साह
प्रभात खबर डिजिटल टॉप स्टोरी
Prabhat Khabar App :
देश, एजुकेशन, मनोरंजन, बिजनेस अपडेट, धर्म, क्रिकेट, राशिफल की ताजा खबरें पढ़ें यहां. रोजाना की ब्रेकिंग हिंदी न्यूज और लाइव न्यूज कवरेज के लिए डाउनलोड करिए




