20.1 C
Ranchi

लेटेस्ट वीडियो

UP Corona News: यूपी में संक्रमित मरीजों की संख्या हुई कम, दो दिन बाद घटे मरीज

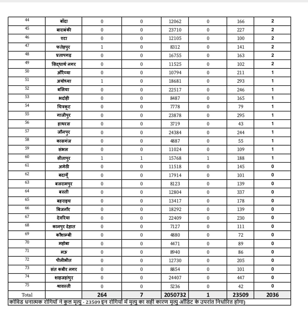
यूपी में कोरोना संक्रमित मरीजों की संख्या में दो दिन बाद कमी आयी है. शनिवार को राज्य में 264 नये मरीज मिले हैं. जबकि दो दिन पहले 5 मई को 361 मरीज और 6 मई को 321 मरीज मिले थे. एक्टिव मरीजों की संख्या बढ़कर 2036 हो गयी है.

Lucknow: यूपी में शनिवार को 264 नये कोरोना संक्रमित मरीज मिले हैं. 5 व 6 मई के मुकाबले यह संख्या कुछ कम है. उत्तर प्रदेश में 5 मई को 361 मरीज और 6 मई को 321 मरीज मिले थे. राज्य में एक्टिव मरीजों की संख्या बढ़कर 2036 हो गयी है.

अपर मुख्य सचिव चिकित्सा स्वास्थ्य अमित मोहन प्रसाद ने शनिवार को बताया कि प्रदेश में शुक्रवार को कुल 1,12,676 सैंपल की जांच की गयी. प्रदेश में अब तक कुल 11,20,07,311 सैंपल की जांच की गयी है. उन्होंने बताया कि विगत 24 घंटे में 07 लोग और अब तक कुल 20,50,732 लोग कोविड-19 संक्रमण से ठीक हुए हैं.

यूपी में शनिवार को गौतमबुद्ध नगर में 134, गाजियाबाद में 54, लखनऊ में 27, आगरा में 10, प्रयागराज में 9, वाराणसी में 8, कानपुर नगर, हमीरपुर और मेरठ में 4-4 मरीज, झांसी, मथुरा में 3-3, बुलंदशहर, ललितपुर, चंदौली में 2-2 मरीज मिले हैं.

Also Read: खौफनाक सड़कों पर मौत का डरावना आंकड़ा, बरेली मंडल में 5 साल में 6600 लोगों ने गंवाई जान, पढ़ें रिपोर्ट

अमित मोहन प्रसाद ने बताया कि कोविड वैक्सीनेशन का कार्य निरंतर किया जा रहा है. 7 मई को शाम तक कुल 3,44,362 डोज टीकाकरण किया जा चुका था. वहीं प्रदेश में अब तक 31,74,58,491 डोज टीकाकरण किया जा चुका है. इसमें 17,22,50,545 पहली डोज और 14,23,35,894 दूसरी डोज है. 28,72,052 प्रिकॉशन डोज दी गई है.

Undefined
Up corona news: यूपी में संक्रमित मरीजों की संख्या हुई कम, दो दिन बाद घटे मरीज 4
Undefined
Up corona news: यूपी में संक्रमित मरीजों की संख्या हुई कम, दो दिन बाद घटे मरीज 5

Disclaimer: हमारी खबरें जनसामान्य के लिए हितकारी हैं. लेकिन दवा या किसी मेडिकल सलाह को डॉक्टर से परामर्श के बाद ही लें.

Prabhat Khabar Digital Desk
Prabhat Khabar Digital Desk
यह प्रभात खबर का डिजिटल न्यूज डेस्क है। इसमें प्रभात खबर के डिजिटल टीम के साथियों की रूटीन खबरें प्रकाशित होती हैं।

Prabhat Khabar App :

देश, एजुकेशन, मनोरंजन, बिजनेस अपडेट, धर्म, क्रिकेट, राशिफल की ताजा खबरें पढ़ें यहां. रोजाना की ब्रेकिंग हिंदी न्यूज और लाइव न्यूज कवरेज के लिए डाउनलोड करिए

संबंधित ख़बरें

Trending News

जरूर पढ़ें

वायरल खबरें

ऐप पर पढें
होम आप का शहर
News Snap News Reel